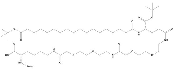
Tirzepatide Building Blocks

Fmoc-Lys[C20(OtBu)-Glu (AEEA-AEEA)-OtBu]-OH

CAS No: 2915356-76-0

Molecular Weight: 1224.59

Molecular Formula:C66H105N5O16

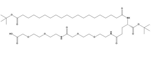
C20(OtBu)-Glu (AEEA-AEEA)-OtBu

CAS No: 1188328-37-1

Molecular Weight: 874.17

Molecular Formula:C45H83N3O13

C20(OtBu)-Glu-OtBu

CAS No: 1119061-70-9

Formula: C33H61NO7

Molecular Weight: 583.9

 
     
24933 Times Visited