Peptide Linkers

Val-Cit-PAB

CAS No: 159857-79-1

Molecular Formula: C18H29N5O4

Molecular Weight: 379.45

Boc-Val-Cit-OH

CAS No: 870487-08-4

Formula: C16H30N4O6

Molecular Weight: 374.4

Fmoc-Val-Cit-OH

CAS No: 159858-21-6

Formula: C26H32N4O6

Molecular Weight: 496.6

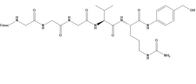
Fmoc-Gly-Gly-Gly-Val-Cit-PAB

CAS No: 2647914-09-6

Formula: C39H48N8O9

Molecular Weight: 772.9

Fmoc-Gly-Gly-Gly-Gly-OH

CAS No: 1001202-16-9

Formula: C23H24N4O7

Molecular Weight: 468.5

Fmoc-Val-Cit-PAB-PNP

CAS No: 863971-53-3

Formula: C40H42N6O10

Molecular Weight: 766.8

Fmoc-Val-Cit-PAB-OH

CAS No: 159858-22-7

Molecular Formula: C33H39N5O6

Molecular Weight: 601.69

 
     
24937 Times Visited