Semaglutide Building Blocks

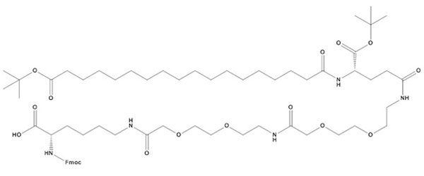
Fmoc-Lys [Octa (OtBu)-Glu (AEEA-AEEA)-OtBu]-OH

CAS No: 1662688-20-1

Formula: C64H101N5O16

Molecular Weight: 1196.5

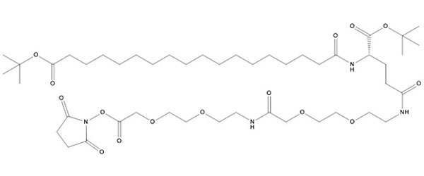
Octa (OtBu)-Glu (AEEA-AEEA-Osu)-OtBu

CAS No:1118767-15-9

Formula: C47H82N4O15

Molecular Weight: 943.2

Octadecanedioic acid mono-tert-butyl ester

CAS NO: 843666-40-0

Formula: C22H42O4

Molecular Weight: 370.6

Fmoc-Aib-OH

CAS No: 94744-50-0

Formula: C19H19NO4

Molecular Weight: 325.4

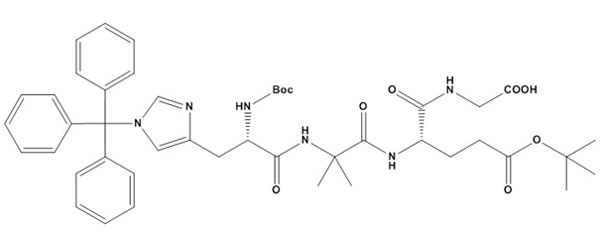
Boc-His (Trt)-Aib-OH

CAS NO: 2061897-68-3

Formula: C34H38N4O5

Molecular Weight: 582.7

Boc-His (Trt)-Aib-Glu (OtBu)-Gly-OH

CAS No: 1890228-73-5

Formula: C45H56N6O9

Molecular Weight: 825.0

H-(AEEA)2-OH

CAS No: 1143516-05-5

Formula: C12H24N2O7

Molecular Weight: 308.3

 
     
18439 Times Visited