Peptide Synthesis Reagents

HATU: 1-[Bis(dimethylamino)methylene]-1H-1,2,3-triazolo[4,5-b] pyridinium 3-oxid hexafluorophosphate, HATU >99%

CAS No. 148893-10-1

Chemical Formula: C10H15F6N6OP

Molecular Weight: 380.23

HOAt:(1-Hydroxy-7-azabenzotriazole) HOAt >99%

CAS No: 39968-33-7

Chemical Formula: C5H4N4O

Molecular Weight: 136.11

HOBt Monohydrate: 1,2,3-Benzotriazol-1-ol Monohydrate, HOBt Monohydrate >99%S

CAS No. 123333-53-9

Chemical Formula: C6H7N3O2

Molecular Weight: 153.14

HBTU:( 2-(1H-Benzotriazole-1-yl)-1,1,3,3-tetramethyluronium hexafluorophosphate, HBTU >99%

No: 94790-37-1

Chemical Formula: C11H16F6N5OP

Molecular Weight: 379.24

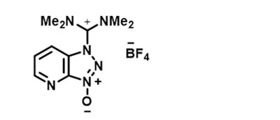
TATU: (2-(3H- [1,2,3] Triazolo[4,5-b] pyridin-3-yl)-1,1,3,3-tetramethyluronium tetrafluoroborate, TATU >99%

CAS No: 873798-09-5

Chemical Formula: C10H15BF4N6O

Molecular Weight: 322.07

PyBOP: Benzotriazol-1-yloxytri(pyrrolidino)-phosphonium hexafluorophosphate, PyBOP > 98%

CAS No: 128625-52-5

Chemical Formula:C18H28N6OP·F6P

Molecular Weight: 520.39

Oxyma: Ethyl 2-cyano-2-(hydroxyimino) acetate, Oxyma > 99%

CAS No: 3849-21-6

Chemical Formula: C5H6N2O3

Molecular Weight: 142.11

TSTU N, N, N', N'-Tetramethyl-O-(N-succinimidyl) uronium Tetrafluoroborate, TSTU >98%

CAS No:105832-38-0

Chemical Formula: C9H16BF4N3O3

Molecular Weight: 301.05

DIC: N, N'-Diisopropylcarbodiimide, DIC > 99%

CAS No. 693-13-0

Chemical Formula: C7H14N2

Molecular Weight: 126.20

HOTUO-[(Ethoxycarbonyl)cyanomethylenamino]-N, N, N', N'-tetramethyluronium hexafluorophosphate, HOTU > 99%

CAS No: 333717-40-1

Chemical Formula: C10H17F6N4O3P

Molecular Weight: 386.24

 
     
24933 Times Visited